ملخص قوانين الفيزياء للصف الثاني الثانوي 2020 في 3 ورقات فقط صباح مصر
ملخص قوانين الفيزياء للصف الثاني الثانوي 2019 2020 صباح مصر
تلخيص فى 8 ورقات للفيزياء للثانى الثانوى بخط اليد لمراجعة المنهج كامل
ملخص قوانين الفيزياء تانية ثانوي في 10 طالب
طالب اون لاين ملخص قوانين الفيزياء تانية ثانوي في 10 Facebook
ملخص قوانين الفيزياء اولى ثانوي فى ورقة وبس
ملخص لأهم قوانين الفيزياء للصف الأول الثانوي الترم الثاني 2020 في ورقتين فقط صباح مصر
جميع قوانين مادة الفيزياء للصف الاول الثانوى 2019 فى ورقة واحدة فقط الامتحان التعليمى
تلخيص قوانين الميكانيكا للصف الثانى الثانوى فى ورقة واحدة للاستاذ احمد فكرى
مراجعة كل قوانين الفيزياء اولي ثانوي في ٦ ورقات أ امانى منصور
تلخيص لكل قوانين الفيزياء للثانى الثانوى فى ورقتين ورد وبس حملها الان
مراجعة سريعة علي قوانين الفيزياء للصف الاول الثانوي ترم أول الجمهورية أون لاين
قوانين الفيزياء للصف الأول الثانوي ترم اول طالب
مراجعة نهائية اسئلة اختيار من متعدد طالب
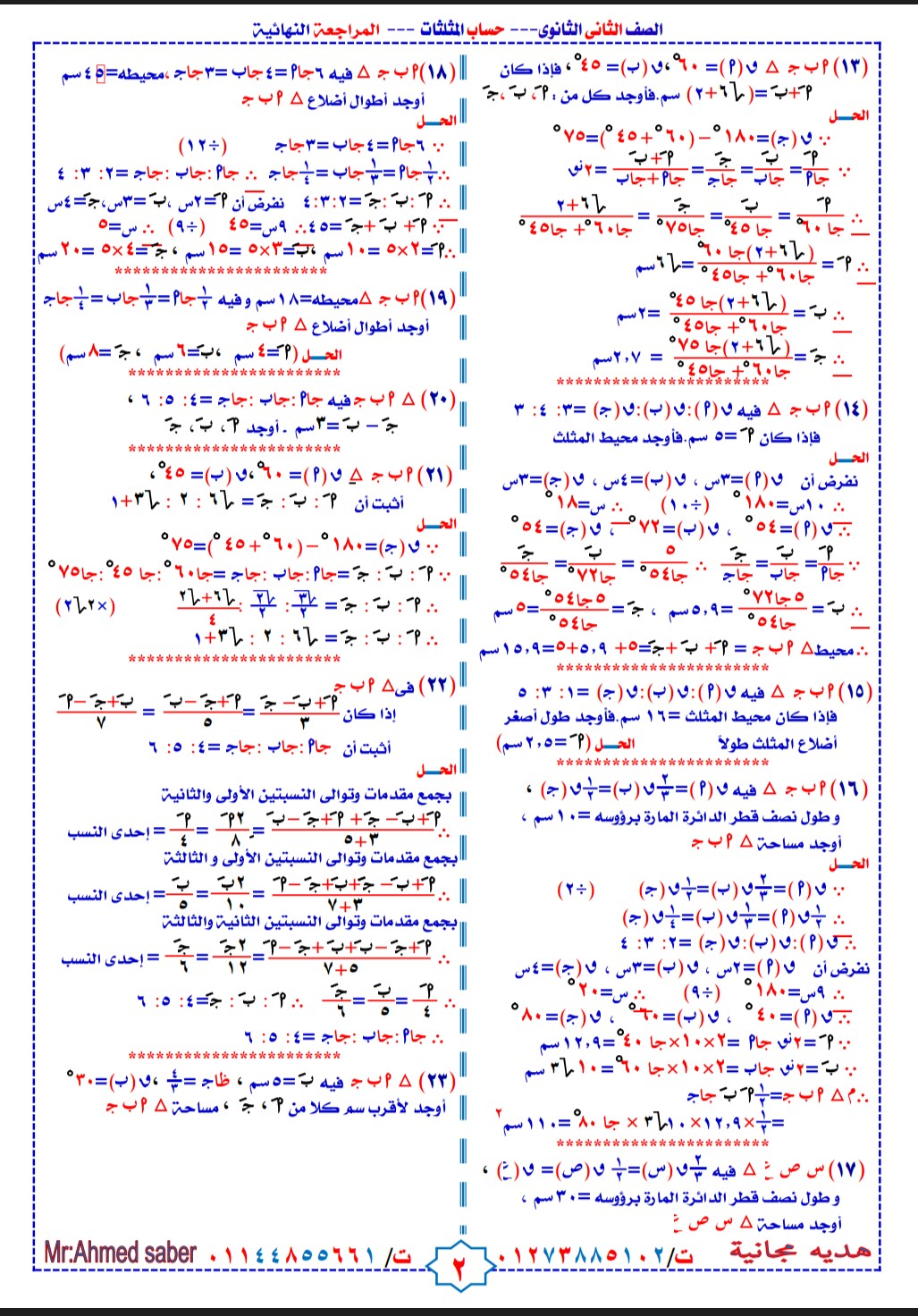
المراجعة النهائية لحساب المثلثات للصف الثاني الثانوى الترم الاول 2020 للاستاذ أحمد صابر